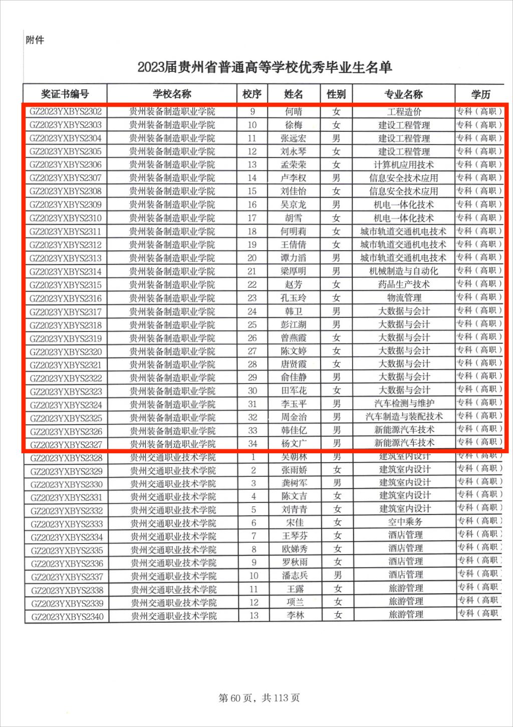
据省教育厅关于2023届贵州省普通高等学校优秀毕业生评选结果的通报,全省共有4371名学生获得2023届贵州省普通高等学校优秀毕业生通报表扬,beat365有34名同学获此殊荣(名单如下)。


本次评选的优秀毕业生是全省普通高等学校2023届毕业生中的优秀代表,他们集中体现了新时代大学生积极、健康、向上的精神风貌。希望beat365此次获得省级优秀毕业生的34名同学在今后的工作中发挥示范带头作用,始终牢记习近平总书记“人无我有、人有我优、技高一筹”的指示精神,刻苦钻研、砥砺前行,再创佳绩,为母校增光添彩。希望在校学生以获得通报表扬的同学为榜样,明确学习目标、积极践行社会主义核心价值观,不负韶华,努力成为德智体美劳全面发展的社会主义合格建设者和接班人。